单项选择题
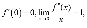
If f (x) has continuous second-order derivative, and
then
A.
B.
C.
D.
点击查看答案
<上一题
目录
下一题>
热门
试题
单项选择题
A. B. C. D.
A.
B.
C.
D.
点击查看答案
单项选择题
下列化合物进行E2反应,哪个活性最大?
A.
B.
C.
D.一样大
点击查看答案
相关试题
变压器负载运行时,若负载电流增大,其铁心...
A、正确 B、错误
PLC的编程大多采用类似于继电器控制线路的...
第4题 第3步 系统压强为
A、正确 B、错误