未分类题
如图所示,在圆O中,弦AB的长是6厘米,则圆O的半径长为5厘米。
(1)圆心O到AB的距离是6厘米
(2)圆心O到AB的距离是4厘米
A.条件(1)充分,但条件(2)不充分。
B.条件(2)充分,但条件(1)不充分。
C.条件(1)和(2)单独都不充分,但条件(1)和条件(2)联合起来充分。
D.条件(1)充分,条件(2)也充分。
E.条件(1)和(2)单独都不充分,条件(1)和条件(2)联合起来也不充分。
A.shangxueba.cn/images/ct_kmbacom_kmbacotorfcf_00537(20096).jpg'>
A.条件(1)充分,但条件(2)不充分。
B.条件(2)充分,但条件(1)不充分。
C.条件(1)和(2)单独都不充分,但条件(1)和条件(2)联合起来充分。
D.条件(1)充分,条件(2)也充分。
【参考答案】
B
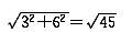
解析:由条件(1),半径长为:
由条件(2),半径长为:
点击查看答案
<上一题
目录
下一题>
热门
试题
未分类题
根据下面选项,回答题:A.在发布地省级药品监督管理部门备案 B.无需经过药品广告审查机关审查 C.由发布地省级药品监督管理部门审查 D.由发布地工商行政管理部门审查 E.在国家工商行政管理部门备案 根据《药品广告审查办法》 药品生产企业在企业所在地拟发布药品广告的要求是 查看材料
点击查看答案
单项选择题
广告:在化妆品中,只有灵芝玉液具有抗过敏的功能或白玉兰香味。如果上述广告是真的,那么以下哪项不可能是真的?()Ⅰ.美白护肤霜具有祛斑和抗过敏的功能。Ⅱ.大漠空气清新剂具有白玉兰香味。Ⅲ.由艾丽雅化妆品公司推出的瑶池秋露具有抗过敏的功能。
A.仅仅Ⅰ。
B.仅仅Ⅱ。
C.仅仅Ⅲ。
D.仅仅Ⅰ和Ⅲ。
E.Ⅰ、Ⅱ和Ⅲ都不可能是真的。
点击查看答案&解析
相关试题
某机床的主轴和润滑油泵各由一只笼型异步电...
试设计一个工作台前进—退回的控制线路。工...
试画出既能使三相异步电动机正、反连续运行...
The main idea of the story is tha...
When we dream,().