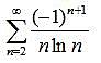
单项选择题
A、1
B、2
C、3
D、4
点击查看答案
<上一题
目录
下一题>
热门
试题
单项选择题
A. B. C. D.
A.
B.
C.
D.
点击查看答案
单项选择题
A2 题型 患者男,32岁。肛门缘出现一紫色包块,张力大,疼痛剧烈,压痛明显。此病变为 A、Ⅰ期内痔 B、Ⅱ期内痔 C、Ⅲ期内痔 D、单纯性外痔 E、血栓性外痔
点击查看答案&解析
相关试题
白兰花是 乔木。
zbrush中调节工具架中的 参数值,可以调节...
Java语言发展到今天经历了以下3个发展方向
PCV阀在怠速时,进气管内真空度[填空1]...
关于池化操作描述错误的有: