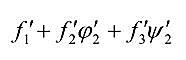
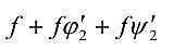
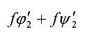
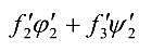
单项选择题
A.
B.
C.
D.
点击查看答案
<上一题
目录
下一题>
热门
试题
问答题
超动式侵入接触又称 侵入接触。<b
点击查看答案
问答题
如何对幼儿的表演游戏进行指导?
点击查看答案
相关试题
某研究性学习小组在探究光的折射过程中,研...
A、 B、 C、 D、
嵌入式设备多为电池供电,合理利用电池的容...
With “Amplification” the translatio...
则=( )