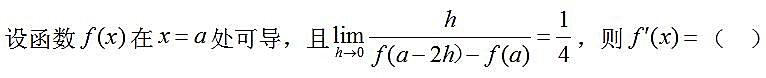
单项选择题

A.
B.
C.
D.
<上一题 目录 下一题>
热门 试题

问答题
传感器是一种能把被检测的 变换为可测信号(通常为电信号))的装置,它是测试系统的首要环节。
单项选择题
A、 B、 C、 D、
相关试题
  • The word them in Line 7, Para....
  • 杂草对花生的危害有哪些?
  • 下列极限计算结果不正确的是( ). A、...
  • A、-3 B、1 C、-1 D、
  • 4.作曲家们借鉴西方艺术歌曲的创作手法和...